I begin this post in my usual way of attempting to incorporate the science presented in Lane’s book into my own understanding of life. That’s what I do through the first portions of this piece. Then I stray….discussing how I understand the process of homeostasis and what I see as the extension of this, relationship as integral to complexity itself, developing from necessary sensitivity, the ‘awareness’, necessary for internal communication, signaling, responsiveness and, ultimately, the coordination of internal functioning and cognition, sentience and ,ultimately, intelligence. It is a process of accretion, with increasing complexity. The links between related ‘things’ are then not just physical, they are energetically connected. I’ll leave this now for later.
I’ve just finished reading evolutionary biochemist, Nick Lane’s latest book, “Transformer: The Deep Chemistry of Life and Death”. It is not light reading. There are diagrams of chemical reactions, often with descriptions that urge the reader to not get overly hung up on them, the terms and steps. They are not simple processes. One transformation following another, necessarily, in precise order, until removed for other processes, other needs, the remainder augmented by what is required to continue on. Uninterrupted. Billions of times per second. He writes about the quantum hopping occurring in reactions instantaneously. Shared electrons. The flow of protons in the continuous ‘flux’ of life. The processes changing ‘directions’, spinning off secondary products, closing and reopening paths as the cell and organism works to maintain homeostasis, interpreting the seeming chaos of activity into the sustenance of life. It is a ‘story’ of constant metabolic change, patterned and ‘free’, the work of homeostasis that takes place within every organism. There is a lot here I write of not in the book, but which I’ve picked up in my other reading. And, again, I’ll remind you that as an intuiter, I combine ideas, works from disparate sciences and follow my own paths. This is another part of my journey to understanding this world.
His other books have been more accessible, for this reader anyway, but to move ahead in one’s understanding of life’s complexity, one has to have an understanding of the concepts and big ideas involved. Life isn’t magic. Its study can be simultaneously intimidating and fascinating as well as a wondrous process when look closely. I’ll be rereading this one to pick up more bits later.
Of all of the physical sciences I’ve always found chemistry, especially organic chemistry, and bio-chemistry, the chemistry of life, the molecular components of which are all built on Carbon (C), the most intimidating. My high school chemistry class was like trying to understand a foreign language. Demanding the memorization of pretty abstract structures, functions and ‘proclivities’. I tended then, and still do, tend toward physics. To understand life, cell biology, metabolism, growth, aging, disease of any organism, requires that one have some understanding of the chemistry involved. So many variables and details to remember. But as I usually do, I read first for concepts, those ideas that underline research with the greatest explanative power. Much of the ‘intimidation’ arises from ‘coded’ jargon that chemists use to discuss the processes. At that scale that specificity is essential. All of the sciences include their own jargon because our every day language lacks the specificity necessary for a deeper understanding of what they are discussing.
Lane’s book is not going to teach you chemistry. He doesn’t demand that you memorize the periodic table, the 100+ elements and their chemical properties, but he does use the ‘language’ when he lays out and attempts to describe the chemical reactions which make up the various processes and cycles which describe a cell’s internal functioning, particularly those of its metabolism, the creation of the necessary component ‘parts’, those precursor molecules, amino acids and proteins, cells require for growth and ‘maintenance’ and those of respiration, which are essential to the process of energy production which powers the cell and, ultimately, any organism, including ourselves. He discusses oxidation as an essential metabolic process and its role in the degradation of cells and tissues. Central to this is his discussion of the Krebs Cycle, often referred to as the Citric Acid Cycle, a string of biochemical reactions which define and limit most of an organism’s essential metabolism, a cycle that can ‘run’ forwards or backwards in response to internal conditions and need. His focus is on the Krebs.
He focuses on the biochemistry of animals, not plants so he doesn’t address photosynthesis with its dependence on light and its companion Calvin-Benson Cycle which is not light dependent and completes the process of glucose formation utilizing the energy provided by ATP (More on it later.) But plants do utilize the Krebs Cycle in their metabolism, utilizing the glucose they produce to later power their own cells and growth.
He goes into some detail discussing the various molecules and conditions involved not to make the reader expert, but to illustrate its complexity. The cycle proceeds in steps, each transformative, spinning off secondary molecules, utilizing those and other ‘inputs’ as the cycle proceeds, releasing and consuming energy as it goes along in a highly conservative manner. The Cycle implies a continuous cycling, but it isn’t always, again because of conditions and demands. It is a main driver in the cell, the main energy driver in its processes of homeostasis and in the production of energy necessary for the many internal cellular processes. When too much of one thing is being produced, the cycle may be interrupted or reversed or not run in a cyclical manner, cranking out a particular needed product until, it’s over abundance stops it, switching to an ‘alternative’ pathway.

I include this as a more complete illustration of the Krebs or Citric Acid Cycle. This is representational, a prompt to aid students in remembering the products of its process. Reality is far more complex than this circle suggests. Lane’s own diagrams are considerably more simplified version of this. I include it to give you some idea of the complexity of the process. Sugars aren’t simply burned in cells to power an organism like gasoline in an engine. Don’t expect to see a neat assembly line structure within each cell. Life does not follow our narrow plans for efficiency, but its processes and timing are finely tuned, near perfect by life’s own measures. ‘Following’ the cycle in the diagram shows where some byproducts are spun off, where the reenter, are used and transformed again for reused. It is highly conservative in this way.
Lane describes the basic ‘structures’ of the molecules involved in the steps, multiple complex steps, forming intermediate products, using simple diagrams to illustrate their idealized structure, the nature of the bonds between a Carbon and Oxygen, the role of Hydrogen, the associated charges and tendency of bonds to form and disintegrate, the movement of charge through the process. He also discusses the essential role of enzymes whose presence reduces the energy requirement for a specific reaction, guiding and enabling the process of chemical change, assuring that a particular reaction occurs rather than another, lowering the energy ‘cost’, by its simple presence. So, yes, this isn’t an easy read. There are illustrative diagrams, the abstract shorthand of chemists, and several ‘cautions’, that science’s attempts to describe these processes are not definitive. They are descriptive. The reactions themselves simultaneous and instantaneous, the various electrons, protons and molecular ‘groups’, occurring as they do, not in the direct and fixed, linear sense of, first this then that. Cells don’t operate that way. Many of the processes, some ‘steps’, are generalized throughout the cell while others occur in specific organelles, themselves often distributed around a cell. The biochemical work performed within the cell, is not a one at a time process. It is again characterized by simultaneity and can be instantaneous….In its way, the reactions are quantum, guided by the cell’s and the organism’s tendency to remain in homeostasis, or chemical balance, a state in which conditions tend toward self perpetuation.
And so Lane uses chemical shorthands, C for Carbon, H for Hydrogen, O for Oxygen, P for Phosphorous and S for Sulphur, the most common elements in all of these reactions, additional short hands for the more important molecular products and the metals essential in particular enzymes that catalyze, specific reactions. There are arrows indicating the direction of a process and bonds illustrated with various weighted lines. This is all conceptual. A tool to describe, not a snap shot of the process itself. In a sense the overall process is more chaotic, while also focused and purposeful.
Chemical reactions involve ‘electrical’ bonds, particles possessing a positive charge, moving towards those with a negative, and away from themselves. Action is precipitated by a difference, an energy gradient, as these elemental particles race, ‘hop’ among molecular groups, in their effort to find stability in a constantly, moving, energized world. At this scale, something simply isn’t, then is, instantly. They can exist individually and as both, simultaneously, in two places at the same time and ‘place’. Quantum behavior. The chemistry of a controlled lab experiment, or an industrial process, is much ‘simpler’ in its simultaneity, adjacency and seemingly chaotic progression. And, when we stop the process, in order to observe it, creating end products, the ‘wave form collapses’ as physicists describe it. The cycle is after all continuous, conservatively, as long as its requirements are meant. Electrons, like Schrodinger’s cat, alive and dead, there and not there, until you stop the process to look. It simply, is. Lane refers to this process as the ‘flux’, the energized state of life.
I have a difficult time interpreting his diagrams, remembering what each structure is, a problem of unfamiliarity, as well as complexity and my own tendency to see things ‘linearly’. He is trying to get the reader to better understand the process, the continuous state of change that is life, the bigger concepts, and the wonder of it. The plasticity of matter and what is going on. How matter and energy blur together, particularly in their organic, living, forms. At least some ease with the commonly used chemical shorthands is necessary.
In the language of chemist’s, 2 H is different than H2. The first represents two separate Hydrogen atoms, which are unstable, atoms acting independently; the latter is the stable gas form of Hydrogen, that bonded pair in its ‘neutral’ state. Take those two single Hydrogen atoms and combine them with a single Oxygen, and there is a release of energy in the creation of the very stable molecule of water, H2O. Break those apart and add Carbon, C, in the right proportion, under the proper conditions, and you have the basic building blocks of all of organic chemistry.That H2 will require an energy input to separate the molecule into two separate atoms. Run that reaction in reverse, joining those two separate atoms with an ‘O’, Oxygen, and energy is released as they bond together. A Hydrogen ion, that atom minus its single electron, is a positively charged particle, composed of a single proton, which in a sense, is ‘looking’ for a negative charge to bond to…to neutralize the charge. All of this goes on within the structure of a cell with its defining and limiting membranes. its physical boundaries. All of these chemical reactions involve an exchange of energy and, in eukaryotic cells, of which we ourselves are made up from, a subject discussed elsewhere, always begin with the simple sugar, glucose, C6H12O6.
Metabolism and the Action Inside the Cell
Membranes, while seemingly negligible barriers, are comprised primarily of multiple fats or lipids and specific proteins. Membranes define and contain the cell’s activities, by organizing each cell spatially. Other membranes surround some of a cell’s various internal organelles, allowing essential chemical processes that could not occur otherwise. They permit the separation of different reactants, the regulation of pH inside and outside. pH, a measure of electrical charge, of relative acidity-alkalinity, the relative abundance of H+, a positively charged Hydrogen ion, Hydrogen missing its single negative electron. pH may be neutral, with the balance of its positive charges cancelling out the negative; or vary in degree, either positively or negatively. A positive charge, created by an abundance of positively charged Hydrogen Ions, H+, or simply, protons, denotes acidic conditions while a negative charge presents alkaline conditions. Acidic conditions favor particular chemical reactions; while alkaline conditions, an overall negatively charged ‘environment’, supports others. When two regions are separated on acidic, one alkaline, there is an energy gradient created, a force that, given the opportunity will seek to neutralize the difference. In this case an abundance of H+ will result in its flow toward the more alkaline side. Remember this. It becomes very important in the Krebs Cycle.
The process of metabolic regulation is more complex than a question of pH. As metabolism occurs its reactions produces a range of by products. Those by-products themselves, in their relative abundance and scarcity, serve as effective ‘switches’, as too much of one slows that process, favoring another. This is further effected by the availability of O2. When Oxygen is less available in the cell, conditions are anerobic and respiration must rely on fermentation which is less efficient at producing ATP, that essential molecule that carries the charge used in so many functions within cells. Endurance athletes are familiar with this occurrence, as their muscle cells, through extensive and vigorous activity, become starved for O2 and begin producing lactic acid, through the anerobic, fermentation process now operating within their muscle cells. One of that pathway’s products, is lactic acid. Under these conditions the operation of their muscles slows and their actions with it. These cells are no longer able to produce enough ATP to power the demanded action. There is another stage in the Krebs Cycle which is absolutely dependent upon the presence of O2 and this is source of the muscle cell’s problem. It is called Oxidative Phosphorylation and it is the stage that is most effective at producing the most ATP and it does so the most efficiently of any of the other stages.
But this anerobic process, which slows muscle action, is also necessary for the most efficient functioning of the cell. This is where one of the membranes function’s is highlighted, the separation of reactions. The cytoplasm, in simplistic terms, is the ‘liquid’ material within which all of the cell’s many organelles are suspended. There is of course more than that. There is a cytoskeleton which provides structure and the capacity for movement, but that too is another ‘story’. The various other specialized organelles are suspended with they cytoplasm. It is in the cytoplasm, in which the fermentation process occurs. It is the first ‘step’ in the Krebs Cycle, the breaking down of the sugar, glucose. This must happen under anerobic, Oxygen free conditions. It’s products are Pyruvate and the other molecules, including NADH and FADH, which are essential in later stages of the Cycle, along with 2 ATP molecules, those tiny electrical batteries of the cell. The Pyruvate, NADH and FADH are transported into the mitochondria, where Oxygen is available, and the Cycle moves ahead, Those 2 ATP are sent out to help power other cellular operations.
When functioning ‘normally’, in an adequately oxygenated environment, the cycle continues inside the mitochondria, producing 13 times more of the energy rich Adenosine triphosphate (ATP), than the anerobic path can. You can see now why when our muscle cells are starved of Oxygen, we become sluggish in our actions. Each cell has an inadequate supply of ATP and cannot execute the commands of our brains and nervous system. Muscular activity is energy intensive.

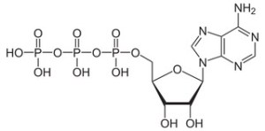
ATP, its three Phosphates shown diagrammatically, linked on the left. When ‘expended’ one of these Phosphate groups is released along with its electron which is used in a needed process.
In biology there are always ‘trade offs’. What might be necessary, in terms of molecular products for the cell’s and organism’s growth and repair, can be in conflict with what is required to power its operation. The dynamic nature of these processes is essential in the organism’s struggle for homeostasis and growth. Manufacturing companies choose their operational strategy often the one referred to as ‘just in time’. They are ‘rational’ and linear. Logical, one step following the other, so that the process works predictably, smoothly and continuously with the least amount of interruptions or waste and with a minimal stockpile of awaiting ‘parts’. In the organism, homeostasis, is a survival requirement, not engineered into our manufacturing processes, and is both inherent and essential for the cell. Lane lays this out in a way that is one of the clearest I’ve come across. Still it wasn’t easy for this chemistry impaired reader. I went to other sources as well for clarification. It has required considerable studying, questioning, repetition and doubt.

The double membrane of the mitochondria. Glycholisis, the breakdown of glucose into Pyruvate, NADH, FADH and ATP occur outside of the mitochondria, Oxidative Phosphorylation occurs within the specialized proteins in the inner membrane and the intramembrane space. The remaining steps of the Krebs Cycle occur within the mitochondria’s centrally located matrix, which in a sense recycles the byproducts of the Phosphorylation process so that there is an adequate supply of NADH and FADH.
The membranes surrounding the cell’s mitochondria, are doubled, each of different ‘construction’ and possessing important functional differences, isolating their interiors from other cellular activity, allowing the creation of energy gradients, through their differences of pH, inside and out. Each membrane also possess differences in their permeability, limiting movement, the transport across them. Membranes then function in a cell’s regulatory process as metabolism proceeds lowering the content, the availability of particular molecules while increasing that of others, along with the concentration of Oxygen, CO2 and Hydrogen ions. Other essential molecules must cross these in a highly controlled manner. Their availability slows or speeds the various processes occurring. There are inherent limits to the overall process. There are other critical elements, while needed in only very small amounts, which go to regulating the process as well, Phosphorous, Sulfur, Iron among them. When ‘exported’ elsewhere for use within the cell they are either replaced or work to slow the cycle. Waste, although minimal, is exported. Glucose, the afore mentioned Pyruvate, NADH, FADH, ATP, the returning ADP, proteins and other molecules, must be transported through the membranes.
How This Works
The inner membrane contains multiple structures called the ‘Electron Transport Chain’. Lane doesn’t really get into this as it adds to the complexity of the explanation. His explanations are simpler, but being the questioning sort that I am…I dove deeper elsewhere. There are four linked protein structures, each of slightly different purpose on to which those NADH and FADH molecules, which serve as effective electron transporters, contribute an electron, a process that ‘frees’ the formerly bonded Hydrogen atom. This charge is passed along the chain powering several other processes including ‘pumping’ H+ through the inner membrane to the space between, increasing the concentration of H+ in the process. This creates a positively charged, acidic, condition. Remember that like ions, repel each other and, given the opportunity to move to an alkaline or neutral space, will. The inner membrane is impermeable to them and so they are directed to the only routes available to them through a specific protein structure, the ATP synthase. In moving, their flow creates a motive force which physically ‘spins’ what is essentially an organic turbine. This action attaches a free Phosphate group, PO, to an available ADP, transforming it into the energy carrying molecule ATP. This is the process of oxidative phosphorylation and it is by far the most effective method by which the cell produces the all important ATP.
Those four bodies, in the electron transport chain, also produce ATP, but in far smaller amounts, some of which go to powering other necessary reactions within the mitochondria. The others are exported to other sites within the cell to power necessary functions. Once expended, reduced to ADP, it is returned to the mitochondria’s central matrix, with the freed phosphate, to be reenergized, recombined, reforming ATP. Reenergized, it is then ‘sent’ out again, endlessly. Think of ATP as tiny organic ‘batteries’, continuously recycled, each carrying a single positive charge it contributes to a needed chemical process in the building of necessary molecules.
None of this is possible without the presence of O2 in the mitochondria’s matrix. Those negatively charged electrons that were ‘freed’ by the action of the electron transport chain, in the creation of these H+ have to go somewhere to maintain the energy gradient between the mitochondria’s matrix and the charged space between the two membranes. They attach themselves to O2 which break the bond between the two Oxygen atoms giving them an overall negative charge. Then, when those H+ have finished their ‘work’, providing the motive force that creates ATP, those two H+ bond with O– forming a water molecule, H2O which is then available for later use in the Krebs Cycle. The availability of O2 .then makes the process of Oxidative Phosphorylation and its production of the all important ATP possible. Without this last step, removing the accumulating H+ from the matrix, the charge shifts, acidifying the matrix, ending the charge differential and, with it, the energy gradient that drives the flow of H+ the production of essential ATP. While this may seem unnecessarily confusing it is an elegant solution that cells developed more than a billion years ago. (The Krebs cycle, again which oxidative phosphorylation is a part, work as a whole, effectively and efficiently, ‘endlessly’ producing and providing what is needed, recycling, utilizing its many byproducts, minimizing its requirements for new, imported resources. See! Neat!)
A single cell can contain as few as no mitochondria, such as in the case of red blood cells, to as many as 2,000 per cell, as found in our very busy livers. A single ATP synthase can produce more than 30 ATP from each Glucose molecule. That’s up to 60,000 per cell. How do I know this? Because scientists have studied many of the steps of this process in extreme detail. Energy flows continuously within the cell, contributing to the structure and function of the cell, transforming and conserving it until that energy is ‘exhausted’ as waste heat to the surrounding environment which itself must stay within limits for the organism to live at all.
[An interesting side note, a fact that I was previously unaware of, is that animals, like bear, that hibernate over the winter, their cellular metabolic processes greatly slowed to conserve stored energy, shift some of these processes, foregoing much of the ATP production that they don’t require during hibernation, and instead use it directly to produce heat which under other circumstances they would produce as they went about their days activities as their various tissues use the ATP.]
All chemical reactions within our cells and body involve an energy exchange. Just as the pH and countless chemical constituent bits play a role in this, so does the ‘environment’s’ temperature. It is in fact critical. Like all of the other parameters, temperature must remain within functional margins, or they either stop when cooled, or speed out of control when heated beyond narrow limits. Each step within these essential functions, and there can be literally billions of them going on within a single individual cell, every second, occur within narrow limits….And there are 30-40 trillion cells in your body. Keep in mind that cells are also very busy producing a wide and specific range of proteins constantly to meet the functional, growth and repair needs, processes themselves that require ATP to perform.
Cellular metabolism happens continuously. It’s working is the essential engine of life. This is the ‘flux’ Lane writes of. It not only goes to powering our gross physical performance, but does as well the growth and maintenance of each of our cells, tissues and organs. Our brains, which constitute 3% of our body mass, consumes 20% of our energy production. Stillness and sleep require it. Physical activity, increases the demand on the system, above and beyond what we normally require at rest for the operation, repair and maintenance of our cells, tissues and organs. Our bodies do not function like a mechanical machine. We are always ‘on’. Throughout our lives we ‘run’ internally at a more or less continuous speed to remain in an optimum state. Reducing our metabolism below that optimal level, puts us at risk, of falling out of homeostasis as does over speeding it. Our activities require that we redirect the necessary energy to sustain physical effort. Physical activity can put us in a deficit mode. Our capacity for performance is largely determined by our body’s efficiency of operation, which is set in part by our ‘habit’ of exercise, of movement, the ‘work’, to borrow a term from physics, that we do, and our rest and nutrient consumption. Our habit of action effects our performance, putting it under stress, which demands efficiencies, so that when done regularly, with adequate nutrition and rest, we become more efficient, again within limits. The internal flow of energy and the continuous chemical transformations that this permits, limits and drives us. Our internal energy flow proceeds with its own kind of crazy momentum, collectively driving the processes of life. Whether we are sleeping, or reading a book, walking across the room or trekking up a steep mountain trail under load, our metabolism continues, following the available paths the energies of which we ‘direct’ according to the needs our activity, so that our body can best perform the task, as efficiently as it can, even as we run up against its limits. We require a particular level of energy production to remain within our body’s limits. How well we perform is limited by the physical body itself and how efficiently it operates, a factor determined by our state of cellular health, our age, the limits of our genetics and that supported by our physical history of movement/work. (See my earlier posts, several of which I need to rework, which discuss the thermodynamics of the organism. This is a link to a bibliography of books and sources I’ve read which discuss the role of energy in driving life and its capacity to structure, drive and organize, matter.)
Our digestive system is not the ‘engine’ itself that powers our bodies. It is ‘preparatory’, breaking down the food in our guts into sugars, starches, fats and amino acids with the aid of other organs and the hormones they contribute as part of their regulatory role in the. process, not to mention the essential digestive role foreign bacteria play as members of our gut biome. These gut bacteria do most of the breaking down of what we eat into forms transportable by blood and into forms our cells can utilize. Food provides the resources our cells utilize to make what we need, when we need it as well as the fuel, the glucose, our cells need to do so.
The basic ‘fuel’ that powers our cells is the simple sugar, glucose. There are other fuels that we can use, but glucose comes first on the list, and is the only ‘fuel’ that our all important brains can utilize. (Being unable to regulate our blood/glucose ratio is the central problem of diabetes. Among other things, too low, and our brain function is compromised. In fact some doctors are making a link between diabetes and various forms of Alzheimers.) Glucose is first broken down at the cellular level through Oxygen free, anaerobic, fermentation, the process of glycolysis, which transforms it in the process, into the necessary molecules to start the aerobic Krebs or Citric Acid Cycles. Three key products of glycolysis are pyruvate, NADH, and FADH, which are then transported into the mitochondria where the remainder of the Cycle occurs, in an oxygenated environment, as I discussed above. Our cells are where the real ‘work’ occurs, breaking the sugars down, utilizing the energy released in the process, releasing their molecular bonds, which permit others to form, which they then use to produce the various molecules and proteins the cell requires to function and repair itself.
Health classes in middle and high school, kind of skip across the central roles of cells. Our digestive system is not the ‘furnace’ itself which drives life, a conclusion that the student might assume absent anything else. Each cell respires and metabolizes for itself, producing energy from its internal chemical reactions. This is not entirely true. Some cells are specialized and have given up certain functions and are then reliant on others, or various organs, providing them certain services. Out of necessity, they must then be integrated into the larger organism in order to have their needs met. This agreement, or relationship exists between all cells in an organism. What is shared will vary with a cells specific specialization.
All of the cells comprising each tissue and organ function collectively, in a coordinated way, to meet their own particular needs, in order to provide the function the overall organism requires as an integrated ‘collective’. Individual cells whether members of a multi-cellular organism or composed of a single cell, must function in a similarly coordinated manner. Homeostasis, is this process of internal regulation, keeping an organism within particular margins. Cells and individuals ‘work’ to maintain optimum conditions for their survival and do this through the limited chaos of the organism’s flux, an energetic process of interaction, regulation through ceaseless communication, with its many parts; signaling and switching its myriad processes on and off, varying their rates; coordinating their shared and individual functions so as to meet the demands of the whole. The entire ‘operation’ remains within tight and essential parameters. Whatever the individual’s state and conditions are, it does this in such a way that best maintain itself, and the whole, at an optimum level…even as its own functioning becomes compromised by disease and conditions that might be outside this optimum.
The cells of our bodies respire, ‘burn’, sugars, fats and starches as needed to provide the energy our cells require. They also metabolize, create, construct, many of the molecules we require to power, as mentioned above, replace and repair ourselves. They create and recycle secondary ‘building materials’ and they do this when and where needed, trillions of times, throughout our body every second. They create the secondary materials the system requires to maintain ourselves. All organisms, animals, plants, fungi, bacteria, follow these same essential patterns (There are exceptions for those anerobic organisms and those primitive single celled organisms with different respiration pathways, pathways that break down non-organic compounds.)
Biochemistry seeks to define and explain how this happens in an organism, in what might seem to be excruciating detail, detail that suggests a singular, deterministic pathway. It is not this way. These overall processes are neither simple nor linear. Chemistry is precise. One cannot skip steps or as the old alchemists attempted to do, transform iron into gold. Particular steps must precede others. Glucose must first be converted into Pyruvate, NADH, FADH and ATP. It cannot skip these, however, these do occur throughout the cell, generally in multiple locations, simultaneously, and the cycle may not always be continuous, and may in fact switch ‘backward’ to meet the cell’s immediate needs. Whether one is examining animal respiration, plant photosynthesis, or any other organic process, like the maintenance of blood sugar levels, the balance of free oxygen in the blood, the processes are complex, intricate and dynamic, with feedback loop on top of feedback loop. The ‘fate’ of any particular molecule in a cell is not fixed. Its longevity is set by its role. Those within this energized metabolic flux which is of and driving the process, are momentary, in a state of continuous, transformation. Change. Transformed into what is possible and needed, moment to moment, unless spun out of the system as a more structural member such as a protein that serve a structural role in the organism, or as an enzymatic gatekeeper, ‘permitting’ necessary reactions, unconsumed or transformed itself in the process. This is why biochemists and biophysicists speak of ‘flux’, of the continuous flow of energy and matter through an organism, its parts and processes. There are several metabolic pathways and cycles mentioned above. Much of what occurs within a cell can play several roles depending on conditions and needs.
The Krebs cycle, is the essential series of chemical reactions that constitutes cellular metabolism. It can run forward or reverse, with its multiple ‘steps’, spinning off various necessary, secondary, metabolites, while sending others further along the path. It can shift back and forth in response to its chemical state, the concentration of Oxygen and that of various metabolites within and around the cell…and it does this nearly instantaneously, billions of times. Lane has built this book around these processes. Biochemists attempt to understand what is going on. Homeostasis, that dynamic and ‘magical’ balancing act, in which the cell operates ideally, is a characteristic of this flux and flow, of constant adjustment, without pause, from moment to moment. Through billions of trillions of chemical transformations. Given this, the inevitability of ‘errors’, mutations, combined with the nature of the Oxidative process, the necessity for Oxygen and its simultaneous effect of oxidizing, breaking down organic molecules, molecules essential to the structure and function of any organism, and the system, the cell, the body itself, begins to breakdown, becoming less efficient over its lifetime. Other, secondary pathways must then play a larger role. Our cells and bodies, inevitably begin to fail. They don’t do this all at once. These secondary pathways buffer our accumulating ‘failures’, until that critical point of no return, is crossed, and ‘we’, collectively, die.
In his final, full chapter, titled ‘The Flux Capacitor’, Lane exhibits his sense of humor borrowing his ‘title’ from the film, ‘Back To The Future’, the key mechanism in ‘Doc’ Brown’s highly modified DeLorean, time traveling ‘car’. In this case Lane is referring to the complex mechanism of the living body and cell that allows it/us to regulate itself in an endless process of switching, storage, consumption, building, reformulating and recycling, shifting and adapting to remain within optimum parameters. There is no singular, ideal state. It is the flux, the energized reality within the cell and organism that is critical. The ‘flux’ is the collective material and energy of its interconnected processes. While he describes individual processes within the flux of energetic change and adjustment, he understands that such processes, are pieces of a larger, complex, dynamic process that never operate on their own. Understanding a single process, a single fragment of the whole, does not give you the secret.
I’ve written in other posts about an organism’s thermodynamics, that flow of energy which animates and orders an organism in a more theoretical way. Lane here, through his particular perspective as a biochemist, attempts to define these processes from that ‘angle’. Each science develops its language through which it can talk about this, each limited in its own way, while at the same time uniquely illuminating this process we recognize as ‘life’. As laymen, without the language, perspective and knowledge of the experts, this a very difficult thing to do, or even comprehend, as it is entirely out of our daily, readily observable, experience. That does not make it untrue. This ‘disconnection’ can become a ‘trap’.
Relationship and the Continuity Between the Part and the Whole: The Role of Natural Selection, the Environment, Necessity, Self-Regulation, Complexity, Fields and the Development of Consciousness:
[Okay, this part is not found in Lane’s book, and the above ‘subtitle’ is a mouthful. It is the product of my own reading and study. For me, the link seems pretty obvious.]
We are organisms. Biological. Alive. We have evolved along with our species’ as a result of our drive to live and reproduce and the limits the conditions of our world impose on us. Our survival as individuals, and as a species, is dependent upon our own ‘fitness’ and the endless connections of our relationships to the infinite other. Our ‘fitness’ involves a great deal more than our physical strength and our ability to dominate others. It is also dependent upon our relationships with others and the vitality of the larger community and world within which we live. As John Donne famously wrote in a poem, “No man is an island.” Our existence has always been dependent upon our relationships. In a very real sense we are defined by our relationships. Our individual longevity is such that, given the opportunity, we may produce, nourish and educate our children, preparing them for their coming role. We are at our physical prime through our critical reproductive years. Biologically, that is our most essential function. Others are related to the health and continuation of the community that supports us, including the other individuals of our species, the many species that play roles in our wider community and the landscape in which we all exist. There is a like kind of homeostasis in operation over the wider community and landscape, functioning in a like manner, as well. Each member comes with ‘expiration dates’ of varying lengths depending on our generational cycles and the needs of our young. The larger landscape, in which we are ’embedded’ is itself in a state of constant flux and, like our own body, tend toward an optimal range of conditions so that it might continue. As a species and individuals, we have our place in this larger process.
Our own processes of metabolism and respiration inevitably break down over time, particular pathways functioning less well, in the continuous demands for responding to our immediate operating conditions, both internal and external, ‘spending’ ourselves in matters of ‘powering’, maintenance and ‘repair’. Over time, as we age, beyond our reproductive and child rearing years, internally, we are forced to switch more and more to ‘alternative’, less ideal, but ‘better’ supported paths, our cells and bodies still working to remain in homeostasis, although ever more compromised and less efficient.
We retain our stability through our complexity, our internal and external relationships. We contain a network of pathways, each of which may serve multiple purposes, many seemingly redundant, but necessary anyway, that while not complete in themselves, fulfill necessary functions. None are ‘bad, rather each is a part of the ‘whole’’. In some cases they can take on a greater role, may be ‘repurposed’, as others become less effective. As our internal operating conditions change the pathways are redirected. Our metabolism forced to follow less efficient pathways, compromising our ability for self repair, to metabolize and respire, compromising tissue, organ and brain function; muscular performance, becomes impeded, weaker, and we become more prone to disease. Often times the failing metabolic pathways lead directly to age related diseases like cancers, diabetes and Alzheimers. Aging, is then a product of our various metabolic processes set within our particular genetic framework, degrading, influenced by our diet and lifestyle, our activity level.
Physicists look at this in ‘physical’ terms. Thermodynamics. Energy flows and transformations of matter. There is a broadening understanding that electrical fields, which are created by all of these chemical processes in the passing back and forth of electrical charge, the flow of energies possessing a kind of momentum, as it follows what physicists often call, ‘the arrow of time’, always moving ahead, aiding the balancing of these systems, and propelling us forward. Our bodies and their functioning are then a result, and response to, all of this energy flux, our collective cells, tissues and organs, an integrated, self-reinforcing, mega process. Anytime that you have a flow of electricity, you have a corresponding electro-magnetic field. Fields go toward determining the outcome of those bodies and forces subject to them. Lane suggests that such fields may play a role in the coordination and consistency of life processes and thinks that they might become an area of experimentation for the next generation of scientists.
Very often as science dives in deeply, it finds that which it cannot explain, in fact it regularly does so. These questions are what drive science. We are restricted by the limitations inherent to our particular viewpoint and our current level of understanding. These looming holes and discrepancies, prepare the way for new ideas, setting the way to new opportunities for previously unimagined, or at least unsupported, theories. The advancement of science is neither a smooth nor continuous process. There are often large gaps. Processes may be readily observable, many are not. The ‘how’ and why of them can remain a mystery for many years. Knowledge is always incomplete and so demands that those who pursue it do so with a degree of humility. It is said that there is what we know, what we don’t know, and…what we don’t know that we don’t know. To claim that one holds all of the answers is an act of arrogance and potentially of hubris when acted upon.
We are self-organizing, self-regulating, individual members of a species; every species functioning within it own limits within the parameters of its larger community and environment. We humans are further organized into various social structures that serve to varying degrees of success, to further provide us with the optimum conditions within which we might flourish…unless those efforts are perverted to meet the more limited and selfish demands of those who would take them. ‘We’ are this way because we are this way, at least until the mechanisms and processes which support us begin to deteriorate, as they/we all inevitably will. But that doesn’t explain anything.
How does the cell ‘know’ how to regulate itself? What, after all, is guiding it? How do we coordinate our internal functions? Not just the mechanics of each chemical reaction. By what means do we maintain our homeostasis? What keeps the whole process from just spontaneously imploding? How do we effectively communicate this internally? Between individuals of a community? What happens to cause a society to pervert itself in such a way that it favors one part over another? If health is a process of homeostasis, of balance among and between all of the parts, then a society that functions in such a biased manner cannot provide the greatest societal good. The advantages gained by the few will be compromised by the deprivations of the many. How do we know when our own actions are destructive? This is the nature of life and health. Life is a product of itself, in all of its complexity and all of the evolving iterations that came before. This, ‘we’, is a product of life’s success on Earth. Science has consistently opened up this world through its examination of reality and possibility.
Some biologists, physicists, neuroscientists and philosophers have been talking about how consciousness, is itself an extension of these processes and relationships, one that increases with our internal complexity and our networks of relationship, a ‘product’ of life, of the internal flux, an extension of the flow of energy throughout the universe, and so a manifestation of an individual’s connection with the world around us. It is then an indicator of our connection to the ‘other’. Consciousness, sentience, awareness, responsiveness, are an ‘evolving’ attribute of our own complexity, our being, and, arguably, necessarily so. Our tendency has been to attribute the quality of individuality to an ‘individual’ body, erasing any non-direct, physical, connection, a ‘self’ that ends at our skin.
This would seem to be in conflict with our biological selves as our dependence on conditions and our environment are undeniable, our existence absolutely dependent on our living in relationship with the world around us, as well as the fact of our own homeostasis, the necessary and integral relationship of the individual with its many ‘parts’. The concept of individual parts forming a functioning whole, then is a denial of our functional reality. We do not and cannot exist as an individual. We are nothing without our supportive context. An individual, in this sense, is incomplete. A denial of our essential relationships. Whether we look at a sub-atomic level, the level of a human individual or of stars, everything exists in relationship. We do not simply live in proximity to, but in ways that shape the existence of each and everything within that relationship. In this sense we do not, cannot, exist as separate individuals. Consciousness, awareness, sentience, then become essential for survival. Our recognition of this is an ‘awakening to’. Our denial, an ignorant refusal of reality. Relationship follows out of necessity. Relationship is then a cost of, and a product of, complexity. At its most basic level it is an attribute of all things.

The shorthand used by chemists. Here, the R represents where one of many other ‘groups’ may attach to the COOH- to form another molecule, the Carboxalic Acid being the essential foundation for all that follows.
This is as true at the molecular scale as it is at the individual human scale. And, by extension, must be at the universal scale. The foundational structure of organic chemistry and the living organism is Carboxylic Acid, a single Carbon double-bonded to an Oxygen (carbonyl) and single-bonded to a Hydroxyl (–OH) group, giving it unique acidic and polar properties, properties inherent to its component parts, which allow this particular organic acid to donate protons and form hydrogen bonds, the basic building block of amino acids, fatty acids, and metabolic processes, often written as R-COOH. Each element, each sub-atomic particle has its own properties, capacities and limits. Our molecules begin this process of self-organization. Self-assembly. Self-repair. Each exists in particular environments, with particular forces and fields acting upon them. Particular tendencies supported. Structures form with their own proclivities. They do not suddenly transform into something else outside of this. As they gain in complexity possibilities become more limited and specific.
As these conditions change, as energy, within limits, is added, new combinations become possible and, once attained, require more sustaining energy, so that any organism might maintain itself in this complex structure. This is the nature of any organism, each an organic ‘far out of balance dissipative structure’ to borrow a phrase from thermodynamics. Without this ‘flux’, this flow of energy, no organism can sustain itself. The flux provides the energy by which it functions and organizes itself. But something must ‘modulate’ this process. We can describe it, but not address the why’s or even the how’s very effectively. Form and function are ‘responses’ to this. A response to a ‘call’ originating from the larger whole. It goes to fitness, the ‘being’ of the whole, its ‘isness’.
What is ‘awareness’? An increasing sensitivity to one’s internal and external operating conditions? The capacity to communicate essential information so that one might live? Awareness is a consequence, a requirement, of relationship. Awareness. Sentience. Intelligence. Consciousness are extensions of this ‘need’ to know without which any organism would collapse. Cease to function. Consciousness is not, then, something that arises from nowhere. Not a magically conferred property provided by God. It is a consequence of increasing complexity, of the same necessity that guides a Paramecium as it engulfs its food or a virus which identifies and then penetrates a particular bacteria so that it might reproduce itself, or that bacteria’s response to ‘slice’ up and destroy an invading virus, or even an electron being drawn to a positive charge. Relationship is inherent in all matter. Existence demands it…and energy, is inseparable from it.
Being in ‘relationship’ is to be ‘engaged’ with some intentionality, purpose, fulfilling a ‘need’, of the ‘whole’, a whole that goes beyond the individual, if not in a more direct and ‘necessary’, structural linkage. Related parties are responsive when in relationship. ‘Communication’ between ‘parts’ is not limited to that expressed through the exchange of human words, but extends to all of the ‘dances’ we, and all ‘things’, do across our days as ‘actors’ within the world. In fact those ‘parts’ are not independent, because at some level, to some degree, they are dependent on the ‘other’. We are shaped by the world and in living, shape the world. Ultimately there is no real division. We are ‘of’ the same larger whole, divisible, only by our own personal bias.
Relationship is the expression of our relative states, our condition that exists from moment to moment. When in ‘relationship’, we ‘respond’ to that around us. We ‘move’ with the other, not unlike dancers, in much the same way that a bacteria does, the more stationary existence of a liver cell, or the humble proton. All have properties and capacities which go to determining each other’s ‘roles’. All things, all cells, must be responsive in their own ways, lest their energized and supported structures collapse to a lower energized state, simpler molecular, generally nonorganic forms, in their pursuit for stability.
‘Nature’, however, presses us ever onward. To continue as a living organism, in this form, requires this flux. Life is an unending process, that at our own end, is transferred to the next, shared all along the way. These relationships, from sub-atomic, to molecular, to cellular, to the individual of a multi-cellular species, to its community, to Earth, the Sun and the universe itself, are all in effect and have been over billions of years, creating firmly established pathways and structures, tendencies, the parameters of life right now, establishing the limits of supportable action, patterns of organization, which collectively form a toolbox for life. At any of these scales, moving too far out of that relationship’s margins, out of homeostasis, results in systems collapse.
Multicellularity, connection, then increases the opportunity for consciousness, sentience, awareness. Complexity and ‘consciousness’ proceed together. They are ‘of’ the same thing. Our rejection of this demeans and threatens all things, including ourselves. In its expansion it is more logarithmic, than additive, the possibilities for relationship and responsiveness compounding. Each more complex, more related than those at lower, previous levels. This is a characteristic of existence. How else does the ‘dance’ of homeostasis occur? How else can any organism direct itself in both supportive and threatening environments? Any individual must be ‘attuned’ to its local environment, which in turn, must fit into the larger environment. Pure instinct, whatever that is, and reflex, would produce only limited and predictable responses. There are undoubtedly ‘tendencies’, but they are all shaped by the context when an action is taken. All organisms, all things, are ‘immersed’ in their environment, organized, integrated in particular ways. Coherent.
The complexity of specialized cells, tissues and organs, that exist in relationship with ‘others’, the integral continuous sharing between them, is an expression of self, of a collective ‘identity’, an internal adaptation, accumulation, of such sensitivity and response. The many and specialized cells of an individual are intimately connected role players, meeting each other’s needs in communication with one another. In surrendering some functions through specialization, cells, tissues, organs, and individuals as well, receive what they require from others that form a whole, an ‘agreed’ upon sharing, a benefit of membership in the whole, an ongoing expression of the collective ‘self’ as it manifests within its surrounding environment. They, we , live in relationship, both internally and externally. As individual humans, our trillions of cells, our organs, attuned to one another, along with the billions of other organisms that live within us, whose existence is essential to our own, selected for each other, our environment and the communities of which we are a part. It, we, our cells, our ‘fellows’, work toward homeostasis during each evolutionary moment, because this is what ‘works’. That which fails is less likely to occur. Molecular bonds cannot be made between incompatible elements.
The process of natural selection operates internally, at every scale, as well as in that world of uncounted individuals, ‘outside’ us. It is an expression of our relationships, internal and external. The biochemical processes of our metabolism, are as much a product of natural selection as any other. All are a result of this continuous flux founded upon that which must be, that which works…until those conditions move beyond the margins that once supported life as it is/was. Those very conditions are in a state of continuous flux. As within the cells of an individual, individuals, communities, species living in relationships which tend to support life. Once outside those margins, ‘corrections’ are made. This happens at every level, continuously. As the balance becomes ever more threatened, as the margins that limit existence are pushed, losses begin to accumulate beyond the rate of the status quo, beyond homeostasis. That which is compatible, likely, necessary, functional. ‘We’, all organisms, are greater than the sum of our parts. ‘We’ are ‘products’ and integrated collectives, sharing our structure, our being. To be less than that sets one up to fail. Life, energy, matter exists as it does, as an intricate and interwoven whole. This is the mechanism of ‘natural selection’ operating internally at the individual scale. It is that mechanism by which homeostasis is attained.
When individuals, communities and societies act in denial of their relationships, like a putative ‘individual’, their continuation can come only at greater energetic expense. They are operating outside of sustainable limits, putting the entirety at risk, the least adaptable, the most vulnerable, then being lost first. Communities are comprised of a network of supporting individuals living in relationship with one another. As members are lost, or sacrificed, the community becomes less stable, in much the same way that an individual’s state of health can be. Relationship must then be recognized to stay in a state of health. There is no real separation allowed between individuals, their communities, their larger society and the entirety of life on the planet. They, we, are one. It is biology, psychology, sociology, economics, chemistry. Philosophy is often seen as separate from science, but philosophy defines a people’s approach to life and the world and they should be congruent. However science may look at us, we are inseparable.
Conclusions
An author leads us down a particular path and we, the reader, follow it in our own way, determined by our own journey and intent. Lane here, as his subtitle suggests, presents his here with a different purpose than I do. He emphasizes the chemistry, its pathways, and how they support the living organism while leading, inevitably to death. I follow him there, and it makes much sense to me, but I’m drawn to a meander he suggests, of which I have read elsewhere, into the question of consciousness, awareness and sentience, homeostasis and evolution. As humans we’ve had a tendency to separate our world into discrete parts. We see ourselves as individual actors and are less inclined to regard ourselves as an expression of a ‘line’ with a several billion years long lineage. As strongly as some insist, we do not exist by ourselves in this world. We are ‘role players’, related in every imaginable way, parts of a billions of years old process. Our existence is grown out of everyone that preceded us. While individually unique, we are not complete, in and of ourselves and put everything, and everyone, in danger when we think so. Our ‘fitness’ arises not just from our individual body, but from our relationships and how we fulfill our wider roles. The physical laws and chemistry we use to describe our ‘state’, our condition, and processes, are not the guiding principles of life, they are descriptors we assign as we consider, examine and test our understanding. Our knowledge will always be incomplete, so our actions, should reflect that and we should proceed with humility. When we impose our will on the world, to make it conform to a narrow and selfish view we put the world and our future at risk.
Perhaps, as Lane suggests at the book’s end, the next big emphasis in the broader examination of life, and biology, will be that of the difficult concept of ‘fields’, those mysterious, sometimes undetectable to us today, forces that shape existence. Some have suggested that the relatedness between species and all beings, exist because their forms some how resonate with something basic to the universe. There are patterns that repeat in nature which we can describe, but not explain such as the symmetry in the structure of living forms bilateralism, the oft repeated skeletal structures of the hand, wing and fin, the spiral in its endless iterations so elegantly describe by the Fibanocci sequence, but does not explain the pattern. What accounts for the precise location of a particular cell in a complex tissue of an organ? Or any other structural detail of our body? It is not DNA. As complex as DNA is it is far too small and simple to account for the literally trillions and trillions of decisions that are made in our developing and operating bodies. What pattern is being followed as our bodies form from that single fertile, undifferentiated cell into our mature bilaterally symmetrical selves, each unique, but generally occurring so similarly that we are physically so similar? And then, one population isolated from another, over many, many generations, evolve separately, still sharing the vast majority of their genes, but their ‘expression’ changing, related, sharing most of the same characteristics, but slightly changed, perhaps tolerant of more altered conditions? How can a gene, identical in every way, exist in one species and an entirely different species, in which it is expressed in a different form? How do these patterns combine over time in harmonious forms to create new, but related patterns, that they exist as a part of the larger matrix of the universe. Does existence shape the ‘field’ which in turn shapes existence, in a process akin the natural selection and consistent with life.
The conditions which permit and support life, also shape it, in a literal sense both directly and indirectly. Fields are the combined effects of forces. They shape the world. We do not see energy. We see, if we can, its effects on the masses around us. It may move, alter or transform things. It is the expression of particular forces. Force is the energetic flow of a mass being acted upon. The ‘field’ is the space in which it is active. Some energies, can pass directly through some masses, the mass transparent to it, others can’t and the mass is effected in predictable ways by its application. That which we can’t directly sense or feel can still be very effective in shaping the world.
Space, we know, is not simply a void populated with random objects. If it follows the pattern and actions of observable nature, of all things embedded in the universe, across all dimensions including the social, then nothing is truly random, nothing truly independent. All exists coherently despite however random it may appear to us with our habit of linear thinking, our limited perceptions, our habit of interpreting the world as a collection of individual bits, everything separate and discrete. Science shows us that changing scale does not change the existence and necessity of relationship…it may change its expression. The flux within us animates and creates us and we, in all our efforts, focused and frantic alike, are of the same type. We are actors operating across a range of behaviors in relationship with the larger universe. Our actions replicate the flux at a larger scale that continues inside of us. This ’embeddedness’ speaks to our existence as a product of relationship. Fields I say? Yes, fields as shaper of our existence and our relationship with the larger universe. Difference does not translate into unrelatedness. All systems operate across a range between margins in a way consistent with the flux and homeostasis that sustains a cell and us. We may not see the several fields within which we operate, that does not negate them. It would be odd to be continuously aware of the fields that shape and move us, because we exist within them and in a real sense of them.
The gravitational field is a property of ‘space’, within which we exist. Space is shaped, ‘bent’ or deformed by every mass, an accommodation space makes as a part of its relationship with mass. This is true for every mass from the single proton to massive stars which dwarf our sun, galaxies, and the ‘dark matter’, itself undetectable to us today, but essential to explain the movement of everything through the universe, each in proportion to their density and size, effectively curving space around them, causing ‘bodies’ to ‘fall’ toward one another. Gravity which cannot be seen, is known to us only through its effects on us. Gravity, bent space, massless light following its curves, while we perceive it to be moving in a straight line.
Mass ‘bends’ space producing gravitational ‘force’, an ‘attractive’ force, which acts on other bodies. The greater the mass the greater the deformation and subsequent force, yet here on Earth It is relatively weak. The Earth has a mass of 13.138,84024 lbs, (shift the decimal point to the right 24 places), around 13 followed by 23 zeroes, times larger than a smaller human individual. We can run and jump around, neither having to worry about being pulled so hard towards its center the we are a thin smear of organic matter on its surface or at some moment drift away from its surface. Gravity, literally, holds the world together, retains our atmosphere, and the atmospheric pressure we are adapted to. Gravity goes to determining our maximum size, the density of our bones, the bulkiness of our muscle structure, the strength and girth of trees. If a massive enough object explodes violently somewhere it creates a gravitational wave that will propagate out through space. We may feel heavy, but our experience with gravity is as much of us as our physical selves are. Do we feel it? It is ‘on’ all of the time. The warmth of the sun, radiant heating we feel when enough light strikes our body, is radiant, moving from its source to us an object, invisible inbetwen. It is not a field. It is a wave and particle in its ‘behavior’, but gravity as a property of space itself is everywhere. Were we able to modulate its intensity, we could ‘learn’ its effect, but for now, it simply is and as such, it effects everything that exists, as it includes everything. Gravity exists as a field within which we exist. I suppose if we were sensitive enough we could feel gravitational waves as they swept across the Earth and beyond, but they are so miniscule that we can’t. Again all we can do is attempt to explain our interaction with it. Gravity undeniably shapes us and the world, and goes to determining the range of possible forms and their physical characteristics. All that exists does so in relationship with gravity along with whatever other forces and fields may be out there.
Is there some other ‘dimension’ in which morphogenetic fields exist? Some have speculated that space itself, including the directly undetectable and vast amounts of dark energy and dark matter which are known to exist, that pattern exists in this space all around us and that matter, has resonant properties that respond to these patterns in a way that, for instance, as individual organisms come into existence, as they form, resonate with these patterns contained in a field and in so doing largely follow them into existence and on into maturity. This would account for the striking similarities between all organisms and their function while accounting for a certain degree of freedom in their expression, in individuality. At this stage this cannot be even remotely proven, but to me it doesn’t seem so far fetched. All things are inter-related and the depth and extent of that relatedness is being more deeply understood everyday. Of course this could be completely off base. Something is ‘causing’ this relatedness, this relationship across scales. Perhaps one day we will one day understand much more clearly just what is going on, but for now we still cannot see or understand that which we have neither the language to comprehend, nor the tools that might permit us to do so. in such cases reality remains beyond the ‘curtain’.
I recently came across the linked article on cognition which addresses some of what I’ve written about in my above concluding section. https://aeon.co/essays/the-study-of-the-mind-needs-a-copernican-shift-in-perspective
